Dr. J's Maths.com
Where the techniques of Maths
are explained in simple terms.

Calculus - Integration - Areas.
Test Yourself 2 - Solutions.


 

From the x-axis. 1.  
  2.  
  3.
  4.  
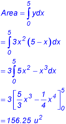
  5. 6.
From the y-axis.

7. (i)

(ii) We first write the integral statement for the area:

 

 

We now take the negative part of this y equation as we want the part of the parabola below x = 2:

  8.  
  9.  
Between 2 curves.

10.

Need the x-values for the point of intersection:

 

 

11. (i) Verify one of the points of intersection has coordinates (2, 1).

Equating the y expressions:

x2 - 2x + 1 = 3 - x

x2 - x - 2 = 0

(x - 2)(x + 1) = 0

x = 2 or x = -1

x = 2 y = 1 So POI is (2, 1).

 

(ii) Hence find the area enclosed.

 

12. (i)

 

(ii)
  13.  
 

14.

 

Between 2 curves - one point of intersection. 15.  
  16.  
Integrals! 17. (i)

(ii)

(iii) Curve is not differentiable at x = 2 and at x = 4.

Note at x = 6, the gradient of CD flows into the gradient of the quadrant.

  18.  
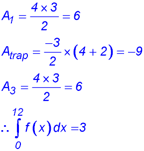
Interpreting diagrams. 19. 20.